In a previous post, I explained why, overall, I approve of the anti-fluoridation movement. Now I want to address one specific aspect of this that is partly scientific but partly philosophical and aesthetic.
First, a bit of personal context. In the lab-research phase of my career, I spent about 7 years working on the development of new drugs for infectious diseases like malaria. To my great disappointment, my work did not contribute much to the fight against these diseases. However, as I worked in this sphere, I was dazzled by others’ advances, such as the following:
(1) A project led by Meg Phillips (UT-Southwestern) and Pradip Rathod (University of Washington) has intensively studied dihydrooroate dehydrogenase (DHODH), an enzyme thought to be a good malaria drug target. In other words, if a drug impairs this enzyme in malaria parasites (Plasmodium falciparum and related species), the parasite should die and the infected person should be cured of malaria. Over the past 15+ years, DHODH has been characterized in almost obsessive detail, enabling the design of chemicals that strongly block the Plasmodium DHODH without messing up the human DHODH or other human enzymes. A new drug based on this work, DSM265, is currently undergoing clinical trials.

Figure (taken from Phillips et al., Science Translational Medicine 7: 296ra111, 2015) showing how the drug DSM265 nestles among specific amino acids of DHODH, thus disrupting its function.
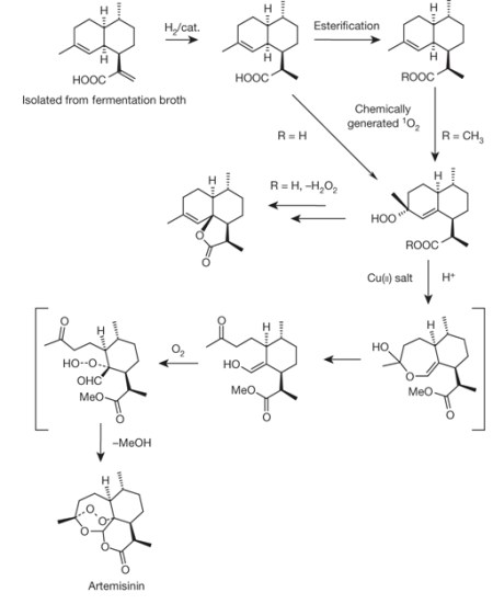
(2) Among already-approved malaria drugs, artemisinin-related compounds are the best ones we have. However, isolating artemisinin from its natural source (the plant Artemisia annua) is costly and time-consuming. A team led by Jay Keasling developed an intricate “semi-synthetic” process, involving both genetically engineered yeast and chemical engineering technology, by which artemisinins can be made cheaply in the lab from simple starting materials.


Figures (taken from Paddon et al., Nature 496: 528-532, 2013) showing how artemisin can be synthesized in a chemical engineering lab.
To me, these projects represent the pinnacle of modern biomedical science. They were exceptionally hard, but years of relentless detail-oriented work by large groups of talented scientists — not to mention generous funding from government and nonprofit groups — led to practical advances that could save uncountable lives.
When held up against such thorough, painstaking work, the strategy of fighting tooth decay by dumping fluoride into drinking water strikes me as really lame.
For the sake of this argument, I’m not taking a stand on the strength of the evidence that fluoride reduces the formation of dental caries (cavities). Let’s assume that it does. The key point here is that according to most pro-fluoridation experts, fluoride acts topically (i.e., at the surface of teeth) rather than systemically (i.e., by passing through the blood and the rest of the body).
The Fluoride Action Network argues, “If fluoride works topically, there is no need to swallow it, and therefore no need to add it to the water supply. This is especially so when considering that (1) fluoride is not a nutrient, and (2) fluoride’s risks come from ingestion.” This reasoning really speaks to me as a scientist.
As illustrated above, we live in an age of remarkable biomedical resources. With the efforts of our best scientists, we can achieve great things like cure malaria with the best precision drugs mankind has ever known. In this can-do environment, do our most sensible and sophisticated cavity-fighting efforts really involve delivering fluoride to the wrong place in the body (the gastrointestinal tract) and hoping that the right amount of it trickles to the right place (the teeth)?
Fluoridated water’s relative safety or lack thereof is, in some ways, beside the point; it’s simply not the best option that we have. As scientifically literate, non-superstitious people, if we want fluoride to act on our teeth, we should put it on our teeth (e.g., with fluoride toothpaste), then spit it out. Period.
In closing, I want to acknowledge a counterargument to which I am sympathetic. People with limited incomes are least likely to get regular professional dental care and are also least likely to be able to afford fluoride toothpaste or be aware of its value. Shouldn’t we fluoridate water to give these vulnerable people the benefits of fluoride even if they’re not brushing regularly with fluoride toothpaste?
I think it’s a reasonable question. But if I were the mayor of a fluoridated-water town, I’d redirect all fluoridation funding into programs to aggressively distribute fluoride toothpaste to all low-income people who need it. And if I were a dentist, rather than lobbying for water fluoridation, I’d focus on this more intelligent route of fluoride delivery.
Leave a comment